In questa pagina discuteremo di cosa è il riverbero delle sale, le problematiche che può causare e perchè è importante ridurre o eliminare il riverbero nei ristoranti, negli uffici, nelle attività lavorative e nei luoghi pubblici.
Nelle sale in cui è la parola a farla da padrone, tutti noi conosciamo il disagio che si prova quando diviene difficile la comprensione, la comunicazione e l’ascolto stesso del nostro interlocutore a causa degli ambienti che hanno difetti acustici evidenti. Esistono alcuni vocaboli che utilizziamo tutti noi comunemente e che definiscono in modo molto semplice le problematiche che ci infastidiscono: riverberi, rimbombi, echi, etc.
Quando una sorgente, come per esempio la voce umana, produce un suono all’interno di un ambiente chiuso, questo viene riflesso dalle pareti creando quello che viene definito riverbero. Il concetto di riverbero e la sua determinazione fisica vennero teorizzati da Wallace Clement Sabine a fine ‘800. Durante una serie di esperimenti, Sabine arrivò a definire la formula che descrive l’andamento della riverberazione all’interno dei locali chiusi. Sabine definì come tempo di riverbero RT60, il tempo necessario affinchè il livello di un suono interrotto repentinamente, decresca di 60 dB rispetto al livello originario.
Questo valore, chiamato RT60 o T60, è l’indicatore principe della performance acustica di una sala e viene tuttora utilizzato nella maggior parte dei calcoli per il trattamento acustico delle sale. Merito di Sabine fu il determinare come il tempo di riverbero derivi da due fattori principali: il volume della sala, quindi le sue dimensioni, e il coefficiente di assorbimento dei materiali in essa presenti.
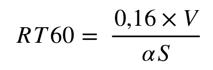
La formula di Sabine, per la determinazione di RT60 è così definita:
Dove V è il volume della sala, α è il coeffciente di assorbimento acustico e S la superficie in mq.
La letteratura scientifica ha prodotto nel corso dei decenni molti parametri di comfort acustico legato alle volumetrie delle sale e alla loro destinazione d’uso. Abbiamo così l’opportunità di attingere a valori che ci dicono di quanti secondi deve essere il tempo di riverbero ideale di sale musicali, teatri, cinema, oppure uffici, ristoranti e così via. A parità di volume, un call center avrà necessità di avere una riverberazione molto più breve (in questo caso occorre eliminare il riverbero) di una sala da concerto, oppure di una chiesa ed è proprio con il corretto trattamento acustico che possiamo riportare questi valori nella loro durata ideale (nella maggior parte delle sale basta solo una riduzione del riverbero).
Nel parlare comune di qualsiasi lingua del mondo, le parole sono formate da vocali e consonanti. Le vocali producono una determinata energia che può essere, a causa della eccessiva riverberazione o del decadimento, più lunga nel tempo e maggiore rispetto al quella delle consonanti. Se pensiamo ad una A e la confrontiamo con una C, capiamo bene la differenza: la A possiamo anche cantarla fino a farci mancare il fiato mentre la C termina subito e per farla durare a lungo non possiamo fare altro che ripeterla. Più o meno è la stessa cosa che succede in una sala quando le parole della voce umana si propagano nell’ambiente.
Questo ci porta ad introdurre il concetto di intelligibilità del parlato, ovvero la capacità di una sala di rendere comprensibile agli oratori il messaggio sonoro (in questo caso la parola). In una sala con scarsa intelligibilità (e alta riverberazione) avremo una continuazione nel tempo delle vocali tale per cui le consonanti (e le successive vocali) ne verranno coperte e mascherate rendendo difficoltosa o impossibile la comprensione delle parole stesse e del loro significato.
La scarsa comprensione porta la nostra psiche a sforzi maggiori per cogliere i significati e il risultato è la perdita di concentrazione e il conseguente affaticamento. Valori particolarmente ridotti di intelligibilità possono rendere totalmente incomprensibile il messaggio vocale.
Inoltre, in locali dove la conversazione riveste un ruolo fondamentale dell’interagire con la presenza di numerosi gruppi di persone che parlano contemporaneamente (come ad esempio un ristorante, un ufficio pubblico si innesca quello che viene definito “effetto Lombard” e cioè la tendenza naturale di aumentare il volume della propria voce in presenza di un rumore di fondo che ne limita la comprensione, con il doppio risultato di aumentare il livello di rumore generale e di rendere più faticoso l’atto stesso di parlare.
Curando queste problematiche (principalmente nella riduzione del riverbero o nella sua eliminazione), riconducibili a leggi fisiche specifiche e indici ben definiti (RT60, RT30, RT20, STI, C50, C80, EDT), possiamo ottenere un miglioramento drastico della qualità dell’ascolto, cambiando in modo radicale il rapporto che abbiamo con queste sale:
- un ristorante, bar o pizzeria dal quale i clienti scappano col mal di testa diventa un ambiente che invita alla permanenza terminando il pasto con piacere fino all’ultima portata
- un ufficio nel quale i dipendenti sono deconcentrati dopo poche ore di lavoro diventa un luogo dalla grande produttività
- un call center può ottenere finalmente una qualità delle telefonate che da subito invita all’ascolto e all’attenzione, e favorisce quindi l’efficacia
- un’aula scolastica dove, con le rilevazioni medie ottenute in Italia, solo il 50% delle parole viene compresa all’ultima fila di banchi e la prima causa di malattia degli insegnanti è il mal di gola diventano, con il giusto trattamento acustico, luoghi nei quali l’insegnamento arriva in modo completo
Allo stesso modo possiamo migliorare i teatri, le sale conferenza, le biblioteche, le sale di attesa, i negozi, le sale da ballo, i luoghi di culto, le palestre e aree fitness, i resort & spa, le camere, le hall e le reception degli hotel, le industrie e le officine: tutte le sale possono rinascere se ben trattate acusticamente, ottenendo così che l’attività svolta abbia finalmente riconosciuto il suo giusto valore.
Chi parla di noi:
https://www.lavorincasa.it/quadri-fonoassorbenti/
https://www.lavorincasa.it/pannelli-fonoassorbenti/
Chi usa i nostri prodotti:
Lamborghini Automobili, Istituto Luce Cinecittà, Panasonic, Unicredit, CNR Consiglio Nazionale delle Ricerche, Verdena, Tommaso Colliva, DJ Prezioso, Edda Silvestri (Aimart) e molti altri.
Contattateci al nostro numero verde se avete dubbi o domande, oppure compilate il modulo per la consulenza acustica gratuita per richiedere un progetto acustico personalizzato: saremo ben lieti di aiutarvi a compiere un passo fondamentale per migliorare la qualità della vostra attività!








